(12 A) بنك الاسئلة الجهد الكهربائي وطاقة الوضع |

📄 اطبع pdf
00971504825082
\[1 \star\]
طاقة الوضع الكهربائية لشحنة موجبة تزداد عند حركتها
أختر الإجابة الصحيحة
A
باتجاه المجال
B
عكس المجال
C
بشكل عمودي على المجال
D
باتجاه القوة الكهربائية
اضغط هنا تظهر طريقة الحل
\[2 \star\]
شحنة موجبة (بروتون) تم تحريكه بين نقطتين
\[A\;\;\Rightarrow\;\;B\]
إحداثيات النقطتين
\[A=(2\;m,-3\;m)\;\;\;\;\;\;\;B=(-2\;m,2\;m)\]
في منطقة مجال منتظم شدته
\[E=4× 10^3\;\;N/C\]
و يتجه نحو المحور الرأسي السالب كما في الشكل أدناه فإن التغير في طاقة الوضع الكهربائية تعادل
\[ q_p = 1.6 ×10^{-19}C\]
اختر الإجابة الصحيحة
A
\[∆ 𝑈= 3.2 × 10^{-15}\;\; J\]
B
\[∆ 𝑈= 2.56 × 10^{-15}\;\; J\]
C
\[∆ 𝑈= -2.56 × 10^{-15}\;\; J\]
D
\[∆ 𝑈= -3.2 × 10^{-15}\;\; J\]
اضغط هنا تظهر طريقة الحل
\[3 \star\]
لوحي مكثف شدة المجال بين اللوحين تعادل
\[E=500 \;\;N/C\] و المسافة بينهما
\[15\;\;Cm\]كما في الشكل أدناه فإن طاقة الوضع الكهربائية للإلكترون عند نقطة تبعد عن اللوح السالب
\[5\;\;Cm\] تعادل
\[q_e=-1.6 \times 10^{-19}\;\;c\]
أختر الإجابة الصحيحة
A
\[u= 1.2 \times 10^{-17}\;\;J\]
B
\[u= 8 \times 10^{-18}\;\;J\]
C
\[u= 0.6 \times 10^{-17}\;\;J\]
D
\[u= 4 \times 10^{-18}\;\;J\]
اضغط هنا تظهر طريقة الحل
\[4 \star \star\]
إلكترون وبروتون المسافة بينهما
\[2\;\;𝝁m\]
فان الشغل المبذول لجعل المسافة بينهما
\[4\;\;Cm\]
أختر الإجابة الصحيحة
A
\[ W = -1.15 \times 10^{-22}\;\;J \]
B
\[ W = 2.25 \times 10^{-22}\;\;J \]
C
\[ W = -4.24 \times 10^{-22}\;\;J \]
D
\[ W = 3.64 \times 10^{-22}\;\;J \]
اضغط هنا تظهر طريقة الحل
\[5 \star\]
إلكترون تحرك بين نقطتين في مجال كهربائي فإذا بدء بسرعة قدرها عند النقطة
\[A\Rightarrow\;\;v_A=80 \frac{m}{s}\]
وأصبحت سرعته عند النقطة
\[B\Rightarrow\;\;v_B=10^5\frac{m}{s}\]
احسب فرق الجهد بين النقطتين علما بأن
\[q_e= - 1.6×10^{-19}C , m_e=9.1×10^{-31}kg\]
أختر الإجابة الصحيحة
A
\[ ∆𝑉=- 0.03\;\; V \]
B
\[∆𝑉= 0.02\;\; V\]
C
\[ ∆𝑉= -0.04\;\; V\]
D
\[ ∆𝑉= 0.01\;\; V\]
اضغط هنا تظهر طريقة الحل
\[6 \star\]
بروتون ترك ليتحرك بين نقطتين فرق الجهد بينهم
\[∆𝑉= 500\;\; V \]فإن سرعة البروتون النهائية تعادل
علما بأن \[q_P= 1.6×10^{-19}C , m_P=1.67×10^{-27}kg\]
أختر الإجابة الصحيحة
A
\[𝑣_𝑓=5.2 \times 10^5 \;\;m/s\]
B
\[𝑣_𝑓=3.1 \times 10^5 \;\;m/s\]
C
\[𝑣_𝑓=1.2 \times 10^5 \;\;m/s\]
D
\[𝑣_𝑓=1.8 \times 10^5 \;\;m/s\]
اضغط هنا تظهر طريقة الحل
\[7 \star\]
نقطتين A, B داخل مجال كهربائي \[V_A= 100 V , V_B=60 V \] تم تحريك بروتون من النقطة \[A\Rightarrow B\] فإن أحد الإجابات التالية تعبر بشكل صحيح عن حركة البروتون داخل المجال
أختر الإجابة الصحيحة
A
\[ ΔU = 6.4 \times 10^{-18}\;\;J\]
B
\[ΔV_{AB}=40\;\;V\]
C
\[ΔK= 5.6 \times 10^{-20}\;\;J\]
D
\[W = 3.64 \times 10^{-22}\;\;J\]
اضغط هنا تظهر طريقة الحل
\[8 \star \star\]
تم حساب الجهد عند النقطة
\[A\;\;\;\; V_A= -45 V \] وتم حساب المجال عند نفس النقطة فكانت قيمته
\[E=112.5 \;\;N/C\]
فإن مقدار ونوع الشحنة المؤثرة على تلك النقطة تعادل
أختر الإجابة الصحيحة
A
\[q= -4 \times 10^{-9}\;\;C\]
B
\[q= 4 \times 10^{-9}\;\;C\]
C
\[q= -2 \times 10^{-9}\;\;C\]
D
\[q= 2 \times 10^{-9}\;\;C\]
اضغط هنا تظهر طريقة الحل
\[9 \star \star\]
في الشكل أدناه تم نقل إلكترون من النقطة
\[A\Rightarrow B \] فإن الشغل المبذول يعادل
علما بأن \[q_e= - 1.6×10^{-19}C \]
أختر الإجابة الصحيحة
A
\[ W= 4.32 \times 10^{-17}\;\;J\;\;\;\;\;\;-C\]
B
\[ W= -4.32 \times 10^{-17}\;\;J \;\;\;\;\;\;-A\]
C
\[ W= 5.32 \times 10^{-17}\;\;J\;\;\;\;\;\;-D\]
D
\[ W= -5.32 \times 10^{-17}\;\;J\;\;\;\;\;\;-B\]
اضغط هنا تظهر طريقة الحل
\[10 \star \star\]
في الشكل أدناه شحنتين
\[q_1= -4 \;\;nC\;\;\;,\;\;\;q_2=6\;\;nC\]
الشحنة الأولى سالبة وضعت عند نقطة الأصل
والشحنة الثانية موجبة وضعت عند نقطة تبعد عن نقطة الأصل
\[0.4\;\;m\]
نقطة انعدام الجهد على الخط الواصل
بين الشحنتين تقع عند الموقع
أختر الإجابة الصحيحة
A
\[X=-0.12 \;\;m\]
B
\[X=-0.8 \;\;m\]
C
\[X=-0.4 \;\;m\]
D
\[X=0.18 \;\;m\]
اضغط هنا تظهر طريقة الحل
\[11 \star \star \star\]
لوحي مكثف متوازي الصفائح فرق الجهد بين بين الوحين يعادل
\[ ∆𝑉= 150 \;\; V\]
والمسافة بين اللوحين
\[6\;\;Cm\] فإن جهد نقطة
تبعد عن اللوح الموجب مسافة قدرها
\[X_A= 2\;\; Cm \] تعادل
أختر الإجابة الصحيحة
A
\[VA=120\;\; V\]
B
\[VA=80\;\; V\]
C
\[VA=50\;\; V\]
D
\[VA=100\;\; V\]
اضغط هنا تظهر طريقة الحل
\[12 \star \star\]
في الشكل أدناه مجال منتظم شدته
\[ E = 500 \;\;N/C \]
فإن فرق الجهد بين النقطتين
\[∆𝑉_{𝐴𝐵}=?\]
والأبعاد موجودة على الرسم يعادل
أختر الإجابة الصحيحة
A
\[∆𝑉(𝐴𝐵)=-200\;\; V\]
B
\[∆𝑉(𝐴𝐵)=-150\;\; V\]
C
\[∆𝑉(𝐴𝐵)=200\;\; V\]
D
\[∆𝑉(𝐴𝐵)=150\;\; V\]
اضغط هنا تظهر طريقة الحل
\[13 \star\]
ثلاث نقاط داخل مجال منتظم كما في الشكل أدناه أحد الخطوط تمثل الشكل الصحيح لخطوط المجال المنتظم علما بأن \[ 0 > ∆𝑉_{𝐴𝐵} , ∆𝑉_{𝐴C}= 0\]
أختر الإجابة الصحيحة
A
A
B
B
C
C
D
D
اضغط هنا تظهر طريقة الحل
\[14 \star \star\]
تم نقل جسيم مشحون من النقطة
\[A\Rightarrow B\]
فإن الشغل المبذول لنقل الجسيم المشحون
أختر الإجابة الصحيحة
A
\[0>W\;\;\;\;\;\;\]
B
\[ W>0\;\; V\;\;\;\;\;\;\]
C
\[ W=0 \;\;\;\;\;\;\]
D
لا يمكن تحديد الشغل لعدم معرفة شحنة الجسيم
اضغط هنا تظهر طريقة الحل
\[15 \star\]
الشكل أدناه يوضح خطوط السطوح المتساوية بالجهد الكهربائي , إن أكبر مقدار للمجال الكهربائي
عند النقطة \[K\]في الشكل
أختر الإجابة الصحيحة
A
A
B
B
C
C
D
D
اضغط هنا تظهر طريقة الحل
\[16 \star \star\]
سلك مشحون بشكل منتظم على امتداد طولة كثافة الشحنة تعادل
\[ λ= 4×10^{-8}\;\;C/m\] تم ثنيه على شكل ربع دائرة نصف قطرها
فإن جهد النقطة تقع في مركز انحناء السلك تعادل
أختر الإجابة الصحيحة
A
\[V=565.5 \;\;V\;\;\;\;\;\;\]
B
\[ V=1131\;\; V\;\;\;\;\;\;\]
C
\[ V=322.2 \;\; V \;\;\;\;\;\;\]
D
\[ V=630.4\;\;V\;\;\;\;\;\;-D\]
\[17 \star \star \star\]
الجهد الكهربائي لحيز من الفراغ يعطى بالعلاقة
\[V(X,Y,Z)=5X^2+8XY+7Z\]
فإن قيمة المجال عند نقطة لها احداثيات
\[(5,-2,-3)\]
تعادل
أختر الإجابة الصحيحة
A
\[E =52.9\;\; N/C \;\;\;\;\;\;\]
B
\[E =67.2\;\; N/C\;\;\;\;\;\;\]
C
\[E =32.8 \;\;N/C \;\;\;\;\;\;\]
D
\[E =64.5 \;\;N/C\;\;\;\;\;\;\]
اضغط هنا تظهر طريقة الحل
\[18 \star \star \star\]
جسم صغير شحنته
\[ 3 \;\;µC\]
وضع عند نقطة
\[ X= 1\;\; m \]
في منطقة يختلف فيها الجهد الكهربائي وفق
العلاقة \[ V_{x}= 4-3X^3\] فإن القوة الكهربائية المؤثرة على الجسيم تعادل
أختر الإجابة الصحيحة
A
\[F= 3.6 \times 10^{-5}\;\;N\]
B
\[F= 2.7 \times 10^{-5}\;\;N\]
C
\[F= 6.5 \times 10^{-5}\;\;N\]
D
\[F= 4.5 \times 10^{-5}\;\;N\]
اضغط هنا تظهر طريقة الحل
\[19 \star \star \star\]
في الشكل أدناه وضعت ثلاث شحنات متساوية المقدار شحنة كل منها \[q_1=q_2=q_3=2\;\;nC\]
على رؤوس مثلث قائم الزاوية وأبعاده موضحة على الرسم
فإن الشغل المبذول لجلب الشحنة الموجودة على الرأس القائم
من اللانهاية إلى الموضع الحالي يعادل
أختر الإجابة الصحيحة
A
\[𝑊=+ 5.2 \times 10^{-7}\;\;J\]
B
\[𝑊=+3.6 \times 10^{-7}\;\;J\]
C
\[𝑊=- 7.1 \times 10^{-7}\;\;J\]
D
\[𝑊=- 2.1 \times 10^{-7}\;\;J\]
اضغط هنا تظهر طريقة الحل
\[20 \star \star\]
ثلاث شحنات موجودة على رؤوس مثلث قائم الزاوية كما في الشكل أدناه
\[q_1=-8\;\;nc\;\;\;q_2=-6\;\;nc\;\;\;q_3=3\;\;nc\]
فإن طاقة الوضع للنظام المكون من ثلاث شحنات
أختر الإجابة الصحيحة
A
\[ U=+5.67 \times 10^{-7}\;\;J\]
B
\[ U=+3.45 \times 10^{-7}\;\;J\]
C
\[ U=+2.85 \times 10^{-7}\;\;J\]
D
\[ U=+7.44 \times 10^{-7}\;\;J\]
اضغط هنا تظهر طريقة الحل
\[21 \star\]
موصل كروي نصف قطره
\[R=0.5\;\;m\] وشدة المجال على سطح الموصل تعادل
\[ E=5000 \;\;N/C\] فإن جهد نقطة تبعد عن مركز الموصل
\[0.2\;\;m\]تعادل
أختر الإجابة الصحيحة
A
\[ V=0.0 \;\; V \]
B
\[ V=10000\;\; V\]
C
\[V=2500 \;\;V\]
D
\[ V=1500\;\;V\]
اضغط هنا تظهر طريقة الحل
\[22 \star \star \star\]
يمثل الشكل التالي الجهد الكهربي كدالة في إحداثيات المحور الأفقي
الرسم الصحيح للمجال الكهربي المقابل كدالة في المحور الأفقي
أختر الإجابة الصحيحة
A
A
B
B
C
C
D
D
اضغط هنا تظهر طريقة الحل
\[23 \star\]
تم وضع شحنة كهربائية
\[Q\]عند نقطة الأصل. ما هي نسبة الجهد المطلق عند النقطة
\[A\]إلى الجهد المطلق عند النقطة
\[B\]
أختر الإجابة الصحيحة
A
\[0.33\]
B
\[0.5\]
C
\[3\]
D
\[2\]
اضغط هنا تظهر طريقة الحل
\[24 \star\]
لنقطتان
\[A\;\;\;,B\]تبعدان مسافة \[r\] عن شحنتين غير متساويتين،\[-Q\;\;\;\;+3Q\]الشغل المطلوب لتحريك شحنة
\[q\] من النقطة \[A\Rightarrow B\]
أختر الإجابة الصحيحة
A
\[ W>0.0 \;\;\;\;\;\;-C\]
B
\[ W=0.0\;\;\;\;\;\;-B\]
C
يعتمد على المسار المتخذ-A
D
\[ 0.0>W\;\;\;\;\;\;-D\]
اضغط هنا تظهر طريقة الحل
\[25 \star \star\]
ينشأ مجال كهربائي بواسطة شحنة موجبة
.يتم عرض توزيع خطوط المجال الكهربائي وخطوط تساوي الجهد على الرسم البياني
.أي من العبارات التالية صحيحة فيما يتعلق بالجهد الكهربائي؟
أختر الإجابة الصحيحة
A
\[ 𝑉_D>𝑉_𝐵>𝑉_𝐶>𝑉_A \]
B
\[ 𝑉_𝐴>𝑉_𝐵>𝑉_𝐶>𝑉_𝐷\]
C
\[ 𝑉_𝐴>𝑉_𝐵=𝑉_𝐶>𝑉_𝐷\]
D
\[𝑉_D>𝑉_𝐵=𝑉_𝐶>𝑉_A\]
اضغط هنا تظهر طريقة الحل
\[26 \star \star\]
تم ترتيب أربع شحنات سالبة ومتساوية مقدار كل منها \[-q\] كما هو موضح في الشكل
احسب الجهد الكهربي الصافي عند مركز المربع؟
أختر الإجابة الصحيحة
A
\[ V_{net}=-\sqrt 2\frac {k.q}{r} \]
B
\[ V_{net}=-2\sqrt 2\frac {k.q}{r} \]
C
\[ V_{net}=-4\sqrt 2\frac {k.q}{r} \]
D
\[ V_{net}=0 \]
اضغط هنا تظهر طريقة الحل
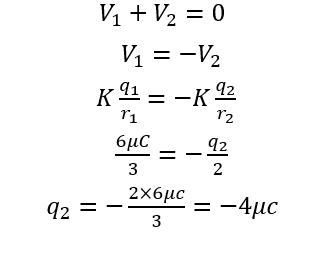
\[27 \star\]
توضع شحنة نقطية
\[q_1=+6.0\;\; µC \]عند النقطة
\[-3\;\;m\]وتوضع شحنة ثانية \[q_2=?\]عند النقطة \[2\;\;m\] ويكون الجهد الكهربي الصافي عند نقطة الأصل صفرًا.
فإن مقدار ونوع الشحنة
\[q_2\]
تعادل
أختر الإجابة الصحيحة
A
\[q_2= -4 \times 10^{-6}\;\;C\]
B
\[q_2= -5 \times 10^{-6}\;\;C\]
C
\[q_2= 5 \times 10^{-6}\;\;C\]
D
\[q_2= 4 \times 10^{-6}\;\;C\]
اضغط هنا تظهر طريقة الحل
حل المسائل التالية
\[1 \star\]
مجال منتظم شدته
\[E=3×10^3\;\;N/c\]كما في الشكل أدناه

رتب النقاط \[A,B.C\] من الجهد الأعلى إلى الأدنى
\[.....................................\;\;\;\;............................................\]
ترك الكترون ليتحرك من
\[A\Rightarrow B\]مستعينا بالشكل
أحسب سرعة الالكترون عندما يصل إلى النقطة \[B\]
\[q_e=-1.6×10^{-19}\;\;c\;\;\;\;\;\;\;\;m_e=9.1×10^{-31}\;\;kg\]
\[.....................................\;\;\;\;............................................\]
\[.....................................\;\;\;\;............................................\]
\[.....................................\;\;\;\;............................................\]
احسب التسارع للإلكترون وهل هو منتظم أم غير منتظم وضح السبب
\[.....................................\;\;\;\;............................................\]
\[.....................................\;\;\;\;............................................\]
\[.....................................\;\;\;\;............................................\]
\[.....................................\;\;\;\;............................................\]
اضغط هنا تظهر طريقة الحل
\[2 \star\]
يمثل الشكل الجهد الكهربي كدالة في إحداثيات المحور الأفقي
بالاعتماد على معلومات الشكل

احسب التغير في طاقة الوضع لبروتون تحرك
من الموضع
\[0\Rightarrow 10\;\;cm\]
\[q_p=+1.6×10^{-19}\;\;c\]
\[.....................................\;\;\;\;............................................\]
\[.....................................\;\;\;\;............................................\]
\[.....................................\;\;\;\;............................................\]
احسب المجال الكهربائي
من الموضع
\[10\;\;cm\Rightarrow 16\;\;cm\]
\[.....................................\;\;\;\;............................................\]
\[.....................................\;\;\;\;............................................\]
اضغط هنا تظهر طريقة الحل
\[3 \star\]
ثلاث شحنات نقطية لها نفس المقدار ومختلفة في النوع موضحة في الشكل أدناه

ارسم خطوط تساوي الجهد

اضغط هنا تظهر طريقة الحل
\[4 \star\]
جسم صغير شحنته
\[ 3 \;\;µC\]
وضع عند نقطة
\[ X= 2\;\; m \]
في منطقة يختلف فيها الجهد الكهربائي وفق
العلاقة \[ V_{x}= 4X-2X^3\]
احسب الجهد عند النقطة
\[X\]
\[.....................................\;\;\;\;............................................\]
\[.....................................\;\;\;\;............................................\]
احسب المجال عند نفس النقطة
\[.....................................\;\;\;\;............................................\]
\[.....................................\;\;\;\;............................................\]
احسب القوة الكهربائية المؤثرة على الجسيم
\[.....................................\;\;\;\;............................................\]
\[.....................................\;\;\;\;............................................\]
اضغط هنا تظهر طريقة الحل
\[5 \star\]
جسم صغير شحنته
\[ 6 \;\;µC\]
وضع عند نقطة
\[A= ( 4\widehat X\;\; m \;\;\;,\;\;\;-2\widehat Y \;\;m)\]
في منطقة يختلف فيها الجهد الكهربائي وفق
العلاقة \[ V= 3X^2.Y^3-2X^3.Y^2+10\]
احسب الجهد عند النقطة
\[A\]
\[.....................................\;\;\;\;............................................\]
\[.....................................\;\;\;\;............................................\]
احسب المجال عند نفس النقطة
\[.....................................\;\;\;\;............................................\]
\[.....................................\;\;\;\;............................................\]
احسب القوة الكهربائية المؤثرة على الجسيم
\[.....................................\;\;\;\;............................................\]
\[.....................................\;\;\;\;............................................\]
اضغط هنا تظهر طريقة الحل
\[6 \star\]
مكثف ذو لوحين متوازيين متصل ببطارية بجهد ثابت
\[v=120\; v\]يبلغ طول كل لوح
\[0.35\;m\]
ويفصل بينهما مسافة
\[0.05 \;m\]يتحرك إلكترون بسرعة أولية أفقية
\[v=2.9 ×10^7\;\;m/s\]ويدخل الفراغ بين اللوحين في المنتصف بين اللوجين . تجاهل الجاذبية . هل سيترك الإلكترون الفراغ بين اللوحين؟
ملاحظة
\[q_e=1.6×10^{-19}\;\;c\;\;\;\;\;\;\;\; m_e=9.1×10^{-31}\;\;kg\]

\[.....................................\;\;\;\;............................................\]
\[.....................................\;\;\;\;............................................\]
\[.....................................\;\;\;\;............................................\]
\[.....................................\;\;\;\;............................................\]
\[.....................................\;\;\;\;............................................\]
\[.....................................\;\;\;\;............................................\]
اضغط هنا تظهر طريقة الحل
🧮 Calculator
🗑️
✏️ قلم
طاقة الوضع الكهربائية لشحنة موجبة تزداد عند حركتها
أختر الإجابة الصحيحة
شحنة موجبة (بروتون) تم تحريكه بين نقطتين
\[A\;\;\Rightarrow\;\;B\]
إحداثيات النقطتين
\[A=(2\;m,-3\;m)\;\;\;\;\;\;\;B=(-2\;m,2\;m)\]
في منطقة مجال منتظم شدته
\[E=4× 10^3\;\;N/C\]
و يتجه نحو المحور الرأسي السالب كما في الشكل أدناه فإن التغير في طاقة الوضع الكهربائية تعادل
\[ q_p = 1.6 ×10^{-19}C\]
اختر الإجابة الصحيحة
لوحي مكثف شدة المجال بين اللوحين تعادل \[E=500 \;\;N/C\] و المسافة بينهما \[15\;\;Cm\]كما في الشكل أدناه فإن طاقة الوضع الكهربائية للإلكترون عند نقطة تبعد عن اللوح السالب \[5\;\;Cm\] تعادل
\[q_e=-1.6 \times 10^{-19}\;\;c\]
أختر الإجابة الصحيحة
إلكترون وبروتون المسافة بينهما \[2\;\;𝝁m\] فان الشغل المبذول لجعل المسافة بينهما \[4\;\;Cm\]
أختر الإجابة الصحيحة
إلكترون تحرك بين نقطتين في مجال كهربائي فإذا بدء بسرعة قدرها عند النقطة \[A\Rightarrow\;\;v_A=80 \frac{m}{s}\] وأصبحت سرعته عند النقطة \[B\Rightarrow\;\;v_B=10^5\frac{m}{s}\] احسب فرق الجهد بين النقطتين علما بأن \[q_e= - 1.6×10^{-19}C , m_e=9.1×10^{-31}kg\]
أختر الإجابة الصحيحة
بروتون ترك ليتحرك بين نقطتين فرق الجهد بينهم \[∆𝑉= 500\;\; V \]فإن سرعة البروتون النهائية تعادل علما بأن \[q_P= 1.6×10^{-19}C , m_P=1.67×10^{-27}kg\]
أختر الإجابة الصحيحة
نقطتين A, B داخل مجال كهربائي \[V_A= 100 V , V_B=60 V \] تم تحريك بروتون من النقطة \[A\Rightarrow B\] فإن أحد الإجابات التالية تعبر بشكل صحيح عن حركة البروتون داخل المجال
أختر الإجابة الصحيحة
تم حساب الجهد عند النقطة
\[A\;\;\;\; V_A= -45 V \] وتم حساب المجال عند نفس النقطة فكانت قيمته
\[E=112.5 \;\;N/C\]
فإن مقدار ونوع الشحنة المؤثرة على تلك النقطة تعادل
أختر الإجابة الصحيحة
في الشكل أدناه تم نقل إلكترون من النقطة
\[A\Rightarrow B \] فإن الشغل المبذول يعادل
علما بأن \[q_e= - 1.6×10^{-19}C \]
أختر الإجابة الصحيحة
في الشكل أدناه شحنتين
\[q_1= -4 \;\;nC\;\;\;,\;\;\;q_2=6\;\;nC\]
الشحنة الأولى سالبة وضعت عند نقطة الأصل
والشحنة الثانية موجبة وضعت عند نقطة تبعد عن نقطة الأصل
\[0.4\;\;m\]
نقطة انعدام الجهد على الخط الواصل
بين الشحنتين تقع عند الموقع
أختر الإجابة الصحيحة
لوحي مكثف متوازي الصفائح فرق الجهد بين بين الوحين يعادل \[ ∆𝑉= 150 \;\; V\] والمسافة بين اللوحين \[6\;\;Cm\] فإن جهد نقطة تبعد عن اللوح الموجب مسافة قدرها \[X_A= 2\;\; Cm \] تعادل
أختر الإجابة الصحيحة
في الشكل أدناه مجال منتظم شدته \[ E = 500 \;\;N/C \] فإن فرق الجهد بين النقطتين \[∆𝑉_{𝐴𝐵}=?\] والأبعاد موجودة على الرسم يعادل
أختر الإجابة الصحيحة
ثلاث نقاط داخل مجال منتظم كما في الشكل أدناه أحد الخطوط تمثل الشكل الصحيح لخطوط المجال المنتظم علما بأن \[ 0 > ∆𝑉_{𝐴𝐵} , ∆𝑉_{𝐴C}= 0\]
أختر الإجابة الصحيحة
تم نقل جسيم مشحون من النقطة \[A\Rightarrow B\] فإن الشغل المبذول لنقل الجسيم المشحون
أختر الإجابة الصحيحة
الشكل أدناه يوضح خطوط السطوح المتساوية بالجهد الكهربائي , إن أكبر مقدار للمجال الكهربائي
عند النقطة \[K\]في الشكل
أختر الإجابة الصحيحة
سلك مشحون بشكل منتظم على امتداد طولة كثافة الشحنة تعادل
\[ λ= 4×10^{-8}\;\;C/m\] تم ثنيه على شكل ربع دائرة نصف قطرها
فإن جهد النقطة تقع في مركز انحناء السلك تعادل
أختر الإجابة الصحيحة
الجهد الكهربائي لحيز من الفراغ يعطى بالعلاقة
\[V(X,Y,Z)=5X^2+8XY+7Z\]
فإن قيمة المجال عند نقطة لها احداثيات
\[(5,-2,-3)\]
تعادل
أختر الإجابة الصحيحة
جسم صغير شحنته \[ 3 \;\;µC\] وضع عند نقطة \[ X= 1\;\; m \] في منطقة يختلف فيها الجهد الكهربائي وفق العلاقة \[ V_{x}= 4-3X^3\] فإن القوة الكهربائية المؤثرة على الجسيم تعادل
أختر الإجابة الصحيحة
في الشكل أدناه وضعت ثلاث شحنات متساوية المقدار شحنة كل منها \[q_1=q_2=q_3=2\;\;nC\]
على رؤوس مثلث قائم الزاوية وأبعاده موضحة على الرسم
فإن الشغل المبذول لجلب الشحنة الموجودة على الرأس القائم
من اللانهاية إلى الموضع الحالي يعادل
أختر الإجابة الصحيحة
ثلاث شحنات موجودة على رؤوس مثلث قائم الزاوية كما في الشكل أدناه
\[q_1=-8\;\;nc\;\;\;q_2=-6\;\;nc\;\;\;q_3=3\;\;nc\]
فإن طاقة الوضع للنظام المكون من ثلاث شحنات
أختر الإجابة الصحيحة
موصل كروي نصف قطره \[R=0.5\;\;m\] وشدة المجال على سطح الموصل تعادل \[ E=5000 \;\;N/C\] فإن جهد نقطة تبعد عن مركز الموصل \[0.2\;\;m\]تعادل
أختر الإجابة الصحيحة
يمثل الشكل التالي الجهد الكهربي كدالة في إحداثيات المحور الأفقي
الرسم الصحيح للمجال الكهربي المقابل كدالة في المحور الأفقي
أختر الإجابة الصحيحة
تم وضع شحنة كهربائية \[Q\]عند نقطة الأصل. ما هي نسبة الجهد المطلق عند النقطة \[A\]إلى الجهد المطلق عند النقطة \[B\]
أختر الإجابة الصحيحة
لنقطتان \[A\;\;\;,B\]تبعدان مسافة \[r\] عن شحنتين غير متساويتين،\[-Q\;\;\;\;+3Q\]الشغل المطلوب لتحريك شحنة \[q\] من النقطة \[A\Rightarrow B\]
أختر الإجابة الصحيحة
ينشأ مجال كهربائي بواسطة شحنة موجبة
.يتم عرض توزيع خطوط المجال الكهربائي وخطوط تساوي الجهد على الرسم البياني
.أي من العبارات التالية صحيحة فيما يتعلق بالجهد الكهربائي؟
أختر الإجابة الصحيحة
تم ترتيب أربع شحنات سالبة ومتساوية مقدار كل منها \[-q\] كما هو موضح في الشكل
احسب الجهد الكهربي الصافي عند مركز المربع؟
أختر الإجابة الصحيحة
توضع شحنة نقطية
\[q_1=+6.0\;\; µC \]عند النقطة
\[-3\;\;m\]وتوضع شحنة ثانية \[q_2=?\]عند النقطة \[2\;\;m\] ويكون الجهد الكهربي الصافي عند نقطة الأصل صفرًا.
فإن مقدار ونوع الشحنة
\[q_2\]
تعادل
أختر الإجابة الصحيحة
حل المسائل التالية
مجال منتظم شدته \[E=3×10^3\;\;N/c\]كما في الشكل أدناه
يمثل الشكل الجهد الكهربي كدالة في إحداثيات المحور الأفقي بالاعتماد على معلومات الشكل
ثلاث شحنات نقطية لها نفس المقدار ومختلفة في النوع موضحة في الشكل أدناه
جسم صغير شحنته
\[ 3 \;\;µC\]
وضع عند نقطة
\[ X= 2\;\; m \]
في منطقة يختلف فيها الجهد الكهربائي وفق
العلاقة \[ V_{x}= 4X-2X^3\]
احسب الجهد عند النقطة
\[X\]
\[.....................................\;\;\;\;............................................\]
\[.....................................\;\;\;\;............................................\]
احسب المجال عند نفس النقطة
\[.....................................\;\;\;\;............................................\]
\[.....................................\;\;\;\;............................................\]
احسب القوة الكهربائية المؤثرة على الجسيم
\[.....................................\;\;\;\;............................................\]
\[.....................................\;\;\;\;............................................\]
جسم صغير شحنته
\[ 6 \;\;µC\]
وضع عند نقطة
\[A= ( 4\widehat X\;\; m \;\;\;,\;\;\;-2\widehat Y \;\;m)\]
في منطقة يختلف فيها الجهد الكهربائي وفق
العلاقة \[ V= 3X^2.Y^3-2X^3.Y^2+10\]
احسب الجهد عند النقطة
\[A\]
\[.....................................\;\;\;\;............................................\]
\[.....................................\;\;\;\;............................................\]
احسب المجال عند نفس النقطة
\[.....................................\;\;\;\;............................................\]
\[.....................................\;\;\;\;............................................\]
احسب القوة الكهربائية المؤثرة على الجسيم
\[.....................................\;\;\;\;............................................\]
\[.....................................\;\;\;\;............................................\]
مكثف ذو لوحين متوازيين متصل ببطارية بجهد ثابت
\[v=120\; v\]يبلغ طول كل لوح
\[0.35\;m\]
ويفصل بينهما مسافة
\[0.05 \;m\]يتحرك إلكترون بسرعة أولية أفقية
\[v=2.9 ×10^7\;\;m/s\]ويدخل الفراغ بين اللوحين في المنتصف بين اللوجين . تجاهل الجاذبية . هل سيترك الإلكترون الفراغ بين اللوحين؟
ملاحظة
\[q_e=1.6×10^{-19}\;\;c\;\;\;\;\;\;\;\; m_e=9.1×10^{-31}\;\;kg\]
اضغط هنا تظهر طريقة الحل
اضغط هنا تظهر طريقة الحل
اضغط هنا تظهر طريقة الحل
No comments:
Post a Comment